Exhibit 10.2

 

FIRST AMENDMENT

 

FIRST AMENDMENT, dated as of February 16, 2021 (this “First Amendment”), to the Employment Agreement, dated as of September 14, 2020 (the “Agreement”), between SIRIUS XM RADIO INC., a Delaware corporation (the “Company”), and SEAN S. SULLIVAN (the “Executive”).

 

WITNESSETH:

 

WHEREAS, the Company and the Executive jointly desire to amend certain provisions of the Agreement in the manner provided for in this First Amendment;

 

NOW, THEREFORE, for valuable consideration, the receipt and sufficiency of which are hereby acknowledged, and in consideration of the premises contained herein, the Company and the Executive hereby agree as follows:

 

1. PRSU Agreements. the Executive and the Company agree that Performance–Based Restricted Stock Unit Agreement attached to the Agreement as Exhibit C shall be deleted and replaced with Performance–Based Restricted Stock Unit Agreement attached to this First Amendment as Exhibit C-1 and the Performance–Based Restricted Stock Unit Agreement (Relative TSR) attached to this First Amendment as Exhibit C-2.

 

2. No Other Amendments. Except as expressly amended, modified and supplemented by this First Amendment, the provisions of the Agreement are and shall remain in full force and effect.

 

3. Governing Law. This First Amendment shall be governed by, and construed and interpreted in accordance with, the laws of the State of New York.

 

4. Counterparts. This First Amendment may be executed in counterparts, all of which shall be considered one and the same agreement, and shall become effective when one or more counterparts have been signed by each of the parties and delivered to the other party.

 

5. Entire Agreement. This First Amendment represents the entire agreement of the Company and the Executive with respect to the subject matter hereof, and there are no promises, undertakings, representations or warranties by the parties hereto relative to the subject matter hereof not expressly set forth or referred to herein.

 

6. No “Good Reason”. The Executive acknowledges and agrees that neither the execution nor implementation of this First Amendment shall give rise to any claim for “Good Reason” by the Executive under the Agreement.

 
2

IN WITNESS WHEREOF, the parties hereto have caused this First Amendment to be duly executed and delivered by their proper and duly authorized officers as of the day and year first above written.

 

  SIRIUS XM RADIO INC.
     
  By: /s/ Dara F. Altman  
    Dara F. Altman
    Executive Vice President,
    Chief Administrative Officer
     
    /s/ Sean S. Sullivan  
    SEAN S. SULLIVAN
 
3

Exhibit C-1

 

SIRIUS XM HOLDINGS INC.

2015 LONG-TERM STOCK INCENTIVE PLAN

 

PERFORMANCE-BASED RESTRICTED STOCK UNIT AGREEMENT

(FREE CASH FLOW)

 

This PERFORMANCE-BASED RESTRICTED STOCK UNIT AGREEMENT (this “Agreement”), dated February 16, 2021, is between SIRIUS XM HOLDINGS INC., a Delaware corporation (the “Company”), and SEAN S. SULLIVAN (the “Executive”).

 

1. Grant of PRSUs. Subject to the terms and conditions of this Agreement, the Sirius XM Holdings Inc. 2015 Long-Term Stock Incentive Plan (the “Plan”), and the Employment Agreement dated as of September 14, 2020 between Sirius XM Radio Inc. (“Sirius XM”) and the Executive (as amended, the “Employment Agreement”), the Company hereby grants 381,663 performance-based restricted stock units (“PRSUs”) to the Executive. Each PRSU represents the unfunded, unsecured right of the Executive to receive one share of common stock, par value $0.001 per share, of the Company (each, a “Share”) on the date specified in this Agreement.

 

2. Dividends. If on any date while PRSUs are outstanding the Company shall pay any dividend on the Shares (other than a dividend payable in Shares), the number of PRSUs granted to the Executive shall, as of the record date for such dividend payment, be increased by a number of PRSUs equal to: (a) the product of (x) the number of PRSUs held by the Executive as of such record date, multiplied by (y) the per Share amount of any cash dividend (or, in the case of any dividend payable, in whole or in part, other than in cash, the per Share value of such dividend, as determined in good faith by the Company), divided by (b) the average closing price of a Share on the Nasdaq Global Select Market on the twenty (20) trading days preceding, but not including, such record date. In the case of any dividend declared on Shares that is payable in the form of Shares, the number of PRSUs granted to the Executive shall be increased by a number equal to the product of (1) the aggregate number of PRSUs held by the Executive on the record date for such dividend, multiplied by (2) the number of Shares (including any fraction thereof) payable as a dividend on a Share. In the case of any other change in the Shares occurring after the date hereof, the number of PRSUs shall be adjusted as set forth in Section 4(b) of the Plan.

 

3. No Rights of a Stockholder. The Executive shall not have any rights as a stockholder of the Company until the Shares have been issued. Once a PRSU vests and a Share is issued to the Executive pursuant to Sections 4 and 5, such PRSU is no longer considered a PRSU for purposes of this Agreement.

 

4. Issuance of Shares Subject to PRSUs.

 

(a) Performance Metric. The PRSUs shall be eligible to vest based on the Company’s level of achievement of cumulative free cash flow as set forth in the budgets (the “Performance Metric Target”) approved by the Company’s Board of Directors (the “Board”) for the years ending December 31, 2021 and December 31, 2022 (together, the “Performance Period”). The

 
4

annual free cash flow component for each of 2021 and 2022 of the Performance Metric Target shall be set at the time such applicable budget is approved by the Board.

 

Free cash flow shall be derived from cash flow provided by operating activities, net of additions to property and equipment, restricted and other investment activity and the return of capital from investment in unconsolidated entities. The Compensation Committee of the Board shall adjust or modify the calculation of free cash flow and/or the Performance Metric Target for the Performance Period in accordance with Sections 4(b) and 12(c) of the Plan, as applicable.

 

The Performance Metric Target for each of the years ending December 31, 2021 and 2022 shall be reasonable in light of the Company’s business plan and budget for the applicable year and other factors affecting the Company’s business taken as a whole.

 

(b) Calculation of Shares to be Issued. No later than sixty (60) days following the end of the Performance Period, the Company shall certify the Company’s level of achievement of the Performance Metric Target (such actual date of certification, the “Certification Date”) and determine the number of PRSUs that shall remain eligible to vest, as set forth below, in accordance with the terms of the Plan and/or this Agreement (such PRSUs, the “Eligible PRSUs”):

 

(i) If the Company fails to achieve at least 80% of the Performance Metric Target, 0% of the PRSUs shall constitute Eligible PRSUs;

 

(ii) Upon achieving 100% or more of the Performance Metric Target, 100% of the PRSUs shall constitute Eligible PRSUs; and

 

(iii) If the Company’s achievement of the Performance Metric Target falls between 80% and 100% of the Performance Metric Target, the number of PRSUs that become Eligible PRSUs shall be determined by straight line interpolation between the thresholds set forth in subsections (i) and (ii) of this Section 4(b).

 

The payout scale set forth above may be modified in order to increase (but not decrease) the percentage of PRSUs that vest hereunder. Any PRSUs that do not constitute Eligible PRSUs as of the Certification Date shall be cancelled on the Certification Date. Except as otherwise provided in Section 5, in order to receive the Eligible PRSUs, the Executive must be employed by Sirius XM on October 26, 2023.

 

(c) Issuance of Eligible PRSUs. Subject to earlier issuance pursuant to the terms of this Agreement or the Plan, on October 26, 2023, the Company shall issue, or cause there to be transferred, to the Executive an amount of Shares representing the Eligible PRSUs (as adjusted pursuant to Section 2 above, if applicable); provided that the Executive continues to be employed by Sirius XM on October 26, 2023.

 

5. Termination of Employment. (a) If the Executive’s employment with Sirius XM terminates for any reason, then the PRSUs shall immediately terminate without consideration; provided that if the Executive’s employment with Sirius XM is terminated (x) due to death or

 
5

Disability” (as defined in the Employment Agreement), (y) by Sirius XM without “Cause” (as defined in the Employment Agreement), or (z) by the Executive for “Good Reason” (as defined in the Employment Agreement) (any such applicable date of termination, the “PRSU Termination Date”), then the PRSUs shall be treated in the following manner:

 

(i) if the PRSU Termination Date occurs on or prior to the end of the Performance Period, or if the PRSU Termination Date occurs prior to the establishment of the Performance Metric Target for the Performance Period, then the PRSUs granted to the Executive under this Agreement, to the extent not previously settled, cancelled or forfeited, shall, subject to Section 5(b), immediately become vested and the Company shall issue, or cause there to be transferred, to the Executive the amount of Shares equal to the number of PRSUs granted to the Executive under this Agreement, notwithstanding Section 4(b), and as adjusted pursuant to Section 2 above, if applicable; and

 

(ii) if the PRSU Termination Date occurs after the last day of the Performance Period, all Eligible PRSUs, to the extent not previously settled, cancelled or forfeited, shall, subject to Section 5(b), immediately (or, if later, on the Certification Date) become vested and the Company shall issue, or cause there to be transferred, to the Executive the amount of Shares equal to the number of Eligible PRSUs earned pursuant to Section 4(b), as adjusted pursuant to Section 2 above, if applicable.

 

(b) In the event the Executive’s employment with Sirius XM terminates due to death or Disability, by Sirius XM without Cause or by the Executive for Good Reason, the condition in Section 4(c) that the Executive be an employee of Sirius XM shall be waived in order to give effect to the foregoing Section 5(a); provided that the Executive executes a release in accordance with Section 6(g) of the Employment Agreement (except that the Company’s General Counsel may waive such requirement in the case of the Executive’s death).

 

(c) The Company shall issue, or cause there to be transferred, to the Executive an amount of Shares representing the Eligible PRSUs (as adjusted pursuant to Section 2 above, if applicable) as provided in Section 5(a)(i) or (ii), as applicable, on the 60th day following the Executive’s termination of employment, but in no event later than March 15th of the year following the year of such termination of employment.

 

6. Change of Control. In the event of a Change of Control, the PRSUs shall be governed by the terms of the Plan; provided that any transactions between the Company, Sirius XM and/or any of their respective wholly-owned subsidiaries, on the one hand, and Liberty Media Corporation, any Qualified Distribution Transferee (as defined in the Investment Agreement, dated as of February 17, 2009, between the Company and Liberty Radio LLC, as amended) and/or any of their respective wholly-owned subsidiaries, on the other hand, shall not constitute a Change of Control under the Plan.

 

7. Non-transferable. The PRSUs may not be transferred, assigned, pledged or hypothecated in any manner (whether by operation of law or otherwise) other than by will or by the applicable laws of descent and distribution, and shall not be subject to execution, attachment or similar process. Any attempt to transfer, assign, pledge, hypothecate or otherwise dispose of PRSUs or of any right or privilege conferred hereby shall be null and void. In the event of the

 
6

Executive’s death, any amounts owed to the Executive hereunder shall instead be paid to the Executive’s designated beneficiary (or, if none, to the Executive’s estate).

 

8. Withholding. Prior to delivery of the Shares pursuant to this Agreement, the Company shall determine the amount of any United States federal, state and local income taxes, if any, which are required to be withheld under applicable law and shall, as a condition of delivery of the Shares pursuant to this Agreement, collect from the Executive the amount of any such tax to the extent not previously withheld in any manner permitted by the Plan.

 

9. Rights of the Executive. Neither this Agreement nor the PRSUs shall confer upon the Executive any right to, or guarantee of, continued employment by Sirius XM or any of its subsidiaries or affiliates, or in any way limit the right of Sirius XM or any of its subsidiaries or affiliates to terminate the employment of the Executive at any time, subject to the terms of the Employment Agreement, or any other written employment or similar written agreement between or among the Company, Sirius XM or any of their subsidiaries or affiliates, and the Executive.

 

10. Professional Advice. The acceptance of the PRSUs may have consequences under federal and state tax and securities laws that may vary depending upon the individual circumstances of the Executive. Accordingly, the Executive acknowledges that the Executive has been advised to consult the Executive’s personal legal and tax advisors in connection with this Agreement and the PRSUs.

 

11. Agreement Subject to the Plan. This Agreement and the PRSUs are subject to the terms and conditions set forth in the Plan, which terms and conditions are incorporated herein by reference. Capitalized terms used herein but not otherwise defined shall have the same meaning as in the Plan. The Executive acknowledges that a copy of the Plan is posted on Sirius XM’s intranet site and the Executive agrees to review it and comply with its terms. This Agreement, the Employment Agreement and the Plan constitute the entire understanding between or among the Company, Sirius XM and the Executive with respect to the PRSUs.

 

12. Governing Law. This Agreement shall be governed by, and construed in accordance with, the laws of the State of New York, and shall bind and inure to the benefit of the heirs, executors, personal representatives, successors and assigns of the parties hereto. Any disputes arising from or relating to this Agreement shall be subject to arbitration pursuant to Section 20 of the Employment Agreement.

 

13. Notices. All notices and other communications hereunder shall be in writing and shall be deemed given when delivered personally or when telecopied (with confirmation of transmission received by the sender), three (3) business days after being sent by certified mail, postage prepaid, return receipt requested or one (1) business day after being delivered to a nationally recognized overnight courier with next day delivery specified to the parties at the following addresses (or at such other address for a party as shall be specified by like notice):

 
7
  Company: Sirius XM Holdings Inc.
    1221 Avenue of the Americas
    35th Floor
    New York, New York 10020
    Attention:  General Counsel
     
  Executive: Address on file at the
    office of the Company

 

Notices sent by email or other electronic means not specifically authorized by this Agreement shall not be effective for any purpose of this Agreement.

 

14. Binding Effect. This Agreement has been duly executed and delivered by the Company and constitutes the legal, valid and binding obligation of the Company enforceable against the Company in accordance with its terms.

 

15. Amendment. The rights of the Executive hereunder may not be impaired by any amendment, alteration, suspension, discontinuance or termination of the Plan or this Agreement without the Executive’s consent.

 

16. Section 409A. This Agreement and the PRSUs granted hereunder are intended to be exempt from Section 409A of the Code and the rules and regulations thereunder such as to avoid any additional taxation under the Section 409A of the Code. Any ambiguity herein shall be interpreted in accordance with the foregoing.

 
8

IN WITNESS WHEREOF, the undersigned have executed this Agreement as of the date first above written.

 

SIRIUS XM HOLDINGS INC.

 

By:  Exhibit C-1   Exhibit C-1
  Dara Altman   SEAN S. SULLIVAN
  Executive Vice President and    
  Chief Administrative Officer    
 
9

Exhibit C-2

 

SIRIUS XM HOLDINGS INC.

2015 LONG-TERM STOCK INCENTIVE PLAN

 

PERFORMANCE-BASED RESTRICTED STOCK UNIT AGREEMENT

(RELATIVE TSR)

 

This PERFORMANCE-BASED RESTRICTED STOCK UNIT AGREEMENT (RELATIVE TSR) (this “Agreement”), dated February 16, 2021, is between SIRIUS XM HOLDINGS INC., a Delaware corporation (the “Company”), and SEAN S. SULLIVAN (the “Executive”).

 

1. Grant of PRSUs. Subject to the terms and conditions of this Agreement, the Sirius XM Holdings Inc. 2015 Long-Term Stock Incentive Plan (the “Plan”) and the Employment Agreement dated as of September 14, 2020 between Sirius XM Radio Inc. and the Executive (the “Employment Agreement”), the Company hereby grants 381,663 performance-based restricted stock units (“PRSUs”) to the Executive, representing the target number of PRSUs eligible to be earned under this Agreement (the “Target PRSUs”). Each PRSU represents the unfunded, unsecured right of the Executive to receive one share of common stock, par value $0.001 per share, of the Company (each, a “Share”) on the date specified in this Agreement.

 

2. Dividends. If on any date while PRSUs are outstanding the Company shall pay any dividend on the Shares (other than a dividend payable in Shares), the number of PRSUs granted to the Executive shall, as of the record date for such dividend payment, be increased by a number of PRSUs equal to: (a) the product of (x) the number of PRSUs held by the Executive as of such record date, multiplied by (y) the per Share amount of any cash dividend (or, in the case of any dividend payable, in whole or in part, other than in cash, the per Share value of such dividend, as determined in good faith by the Company), divided by (b) the average closing price of a Share on the Nasdaq Global Select Market on the twenty (20) trading days preceding, but not including, such record date. In the case of any dividend declared on Shares that is payable in the form of Shares, the number of PRSUs granted to the Executive shall be increased by a number equal to the product of (1) the aggregate number of PRSUs held by the Executive on the record date for such dividend, multiplied by (2) the number of Shares (including any fraction thereof) payable as a dividend on a Share. In the case of any other change in the Shares occurring after the date hereof, the number of PRSUs shall be adjusted as set forth in Section 4(b) of the Plan.

 

3. Issuance of Shares subject to PRSUs.

 

(a) Performance Metric. All or a portion of the PRSUs shall be eligible to vest based on the Company’s level of achievement of the Performance Metric set forth on the Performance Matrix attached hereto as Annex A (the “Performance Matrix”), subject to the terms set forth therein and herein.

 

(b) Calculation of Shares to be Issued. No later than sixty (60) days following the end of the Performance Period, the Company shall certify the Company’s level of achievement of the Performance Metric (such actual date of certification, the “Certification Date”). Upon the

 
10

Certification Date, the applicable portion of the Target PRSUs determined by the Payout Percentage (as defined in the Performance Matrix) as a percentage of the Target PRSUs shall be calculated and shall vest, subject to the Executive’s continuous employment with Sirius XM Radio Inc. or any of its subsidiaries or affiliates (“Sirius XM”) through October 26, 2023 (except as otherwise set forth herein) (such PRSUs, the “Vested Units”). On the Certification Date, any PRSUS which do not become Vested Units in accordance with the immediately preceding sentence shall immediately be forfeited and cancelled, and the Executive shall not be entitled to any compensation or other amount with respect thereto.

 

(c) Issuance of Vested Units. Subject to the terms of this Agreement and/or the Plan, the Company shall issue, or cause there to be transferred, to the Executive on the first business day following the Certification Date, subject to the Executive’s continuous service with Sirius XM on October 26, 2023, a number of Shares equal to the number of Vested Units. In no event shall the Shares issued hereunder be issued later than the March 15th following the end of the Performance Period.

 

(d) Termination. Except as otherwise set forth herein, if the Executive’s employment with Sirius XM terminates for any reason prior to October 26, 2023, then all of the PRSUs shall immediately terminate without consideration. Notwithstanding the foregoing, if the Executive’s employment with Sirius XM is terminated prior to October 26, 2023 (x) due to death or “Disability” (as defined in the Employment Agreement), (y) by Sirius XM without “Cause” (as defined in the Employment Agreement), or (z) by the Executive for “Good Reason” (as defined in the Employment Agreement), then the Target PRSUs, to the extent not previously settled, cancelled or forfeited, shall, subject to the second to last sentence of this Section 3(d), immediately become vested and the Company shall issue, or cause there to be transferred, to the Executive, on the sixtieth day following such termination of employment, the amount of Shares equal to the number of Target PRSUs granted to the Executive under this Agreement, and as adjusted pursuant to Section 2 above, if applicable. In no event shall such Target PRSUs be issued or transferred later than the March 15th following the year of the Executive’s termination of employment. In the event the Executive’s employment with Sirius XM terminates due to death or Disability, by Sirius XM without Cause or by the Executive for Good Reason, the condition in Section 3(c) that the Executive be an employee of Sirius XM shall be waived; provided that the Executive executes a release in accordance with Section 6(g) of the Employment Agreement (except that the Company’s General Counsel may waive such requirement in the case of the Executive’s death). Notwithstanding anything herein to the contrary, if the Executive’s employment terminates for any reason on or after October 26, 2023, the Executive shall, without any requirement of executing a release, receive the Vested Units in accordance with, and at the time provided, in Section 3(c).

 

4. Change of Control. Notwithstanding the foregoing provisions, in the event of a Change of Control, the PRSUs shall be governed by the terms of the Plan; provided that any transactions between the Company, Sirius XM and/or any of their respective wholly-owned subsidiaries, on the one hand, and Liberty Media Corporation, any Qualified Distribution Transferee (as defined in the Investment Agreement, dated as of February 17, 2009, between the Company and Liberty Radio LLC, as amended) and/or any of their respective wholly-owned subsidiaries, on the other hand, shall not constitute a Change of Control under the Plan.

 
11

5. Non-transferable. The PRSUs may not be transferred, assigned, pledged or hypothecated in any manner (whether by operation of law or otherwise), other than by will or by the applicable laws of descent and distribution, and shall not be subject to execution, attachment or similar process. Any attempt to transfer, assign, pledge, hypothecate or otherwise dispose of PRSUs or of any right or privilege conferred hereby shall be null and void. In the event of the Executive’s death, any amounts owed to the Executive hereunder shall instead be paid to the Executive’s designated beneficiary (or, if none, to the Executive’s estate).

 

6. Withholding. Prior to delivery of the Shares pursuant to this Agreement, the Company shall determine the amount of any United States federal, state and local income taxes, if any, which are required to be withheld under applicable law and shall, as a condition of delivery of the Shares pursuant to this Agreement, collect from the Executive the amount of any such tax to the extent not previously withheld in any manner permitted by the Plan.

 

7. No Rights of a Stockholder. The Executive shall not have any rights as a stockholder of the Company with respect to any Shares until the Shares have been issued. Once a PRSU vests and a Share is issued to the Executive pursuant to Section 3, such PRSU is no longer considered a PRSU for purposes of this Agreement.

 

8. Rights of the Executive. Neither this Agreement nor the PRSUs shall confer upon the Executive any right to, or guarantee of, continued employment by or service with Sirius XM, or in any way limit the right of Sirius XM to terminate the employment or service of the Executive at any time, subject to the terms of any written employment or similar written agreement between the Executive and Sirius XM.

 

9. Professional Advice. The acceptance of the PRSUs may have consequences under federal and state tax and securities laws that may vary depending upon the individual circumstances of the Executive. Accordingly, the Executive acknowledges that the Executive has been advised to consult the Executive’s personal legal and tax advisors in connection with this Agreement and the PRSUs.

 

10. Agreement Subject to the Plan. This Agreement and the PRSUs are subject to the terms and conditions set forth in the Plan, which terms and conditions are incorporated herein by reference. Capitalized terms used herein but not otherwise defined shall have the meanings set forth in the Plan. The Executive acknowledges that a copy of the Plan is posted on Sirius XM’s intranet site and the Executive agrees to review it and comply with its terms. This Agreement, the Employment Agreement and the Plan constitute the entire understanding between or among the Company, Sirius XM and the Executive with respect to the PRSUs.

 

11. Governing Law. This Agreement shall be governed by, and construed in accordance with, the laws of the State of New York, and shall bind and inure to the benefit of the heirs, executors, personal representatives, successors and assigns of the parties hereto. Any disputes arising from or relating to this Agreement shall be subject to arbitration pursuant to Section 20 of the Employment Agreement.

 
12

12. Notices. All notices and other communications hereunder shall be in writing and shall be deemed given when delivered personally or when telecopied (with confirmation of transmission received by the sender), three (3) business days after being sent by certified mail, postage prepaid, return receipt requested or one (1) business day after being delivered to a nationally recognized overnight courier with next day delivery specified to the parties at the following addresses (or at such other address for a party as shall be specified by like notice):

 

  Company: Sirius XM Holdings Inc.
    1221 Avenue of the Americas
    35th Floor
    New York, New York 10020
    Attention:  General Counsel
     
  Executive: Address on file at the
    office of Sirius XM

 

Notices sent by email or other electronic means not specifically authorized by this Agreement shall not be effective for any purpose of this Agreement.

 

13. Binding Effect. This Agreement constitutes the legal, valid and binding obligation of the Company enforceable against the Company in accordance with its terms.

 

14. Amendment. The rights of the Executive hereunder may not be impaired by any amendment, alteration, suspension, discontinuance or termination of the Plan or this Agreement without the Executive’s consent.

 

15. Section 409A. This Agreement and the PRSUs granted hereunder are intended to be exempt from Section 409A of the Code and the rules and regulations thereunder such as to avoid any additional taxation under the Section 409A of the Code. Any ambiguity herein shall be interpreted in accordance with the foregoing.

 
13

IN WITNESS WHEREOF, the undersigned have executed this Agreement as of the date first above written.

 

SIRIUS XM HOLDINGS INC.

 

By:  Exhibit C-2   Exhibit C-2
  Dara Altman   SEAN S. SULLIVAN
  Executive Vice President and    
  Chief Administrative Officer    
 
14

Annex A

 

Performance Matrix

 

Target Award: Participant’s overall target-level award hereunder is equal to 381,663PRSUs (the “Target PRSUs”).

 

The “Performance Period” shall be January 1, 2021 through December 31, 2023.

 

The “Performance Metric” shall be the three-year total shareholder return (“TSR”) of the Company relative to the other entities in the TSR Index (as defined below). Achievement of the Performance Metric shall be determined by the percentile rank of the Company’s TSR relative to the TSR of each other entity in the TSR Index.

 

Determination of TSR: TSR for the Company and each other entity in the TSR Index shall be determined in accordance with the following formula. TSR shall be equal to (a) divided by (b) minus (c), expressed as a percentage, where:

 

(a) is equal to the product of (i) and (ii), where (i) is the Ending Price and (ii) is the Reinvestment Factor;

 

(b) is equal to the Starting Price; and

 

(c) is equal to one.

 

For purposes of determining TSR:

 

Starting Price” means the average closing price of one share of common stock on the applicable stock exchange during the twenty (20) trading days immediately preceding and including the first day of the Performance Period. The Starting Price for a Share of the Company is $6.3795.

 

Ending Price” means the average closing price of one share of common stock on the applicable stock exchange during the twenty (20) trading days immediately preceding and including the last day of the Performance Period; provided that, in the case of a Change of Control, the Ending Price for the Company shall be the fair market value of a Share immediately prior to the Change of Control, and the Ending Price for all other companies shall be the average closing price of one share of common stock on the applicable stock exchange during the twenty (20) trading days immediately preceding the date of the Change of Control.

 

Reinvestment Factor” means the Total Share Count at the end of the Performance Period.

 

Total Share Count” equals one share of the Company’s common stock on the first day of the Performance Period, which is adjusted cumulatively for any dividends declared over the

 
15

Performance Period. The adjustment for each dividend declaration shall increase the Total Share Count by an amount calculated as the sum of (x) and (y), where:

 

(x) equals the Current Total Share Count; and

 

(y) equals the calculated result of (i) multiplied by (ii) and divided by (iii), where (i) is the Current Total Share Count, (ii) is the dollar value of the declared dividend, and (iii) is the closing price of the company’s Common stock on the payment date.

 

Current Total Share Count” means the Total Share Count before each dividend adjustment, if any.

 

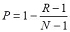
The Company’s “Rank” shall be determined by the Company’s position within the ranking of each entity in the TSR Index (including the Company) in descending order based on their respective TSRs (with the highest TSR having a Rank of one). For purposes of developing the ordering provided in the immediately-preceding sentence, (A) any entity that filed for bankruptcy protection under the United States Bankruptcy Code during the Performance Period shall be assigned the lowest order of any entity in the TSR Index such that such entity’s TSR is fixed at -100%, (B) any entity that is acquired during the Performance Period, or otherwise no longer listed on a national securities exchange at the end of the Performance Period (other than the Company), shall be removed from the TSR Index and shall be excluded for purposes of ordering the entities in the TSR Index (and for purposes of calculating the Company’s Percentile) and (C) any entity that has issued multiple classes of stock that are contained in the TSR Index shall be aggregated and considered one entity.

 

After determining the Company’s Rank, the Company’s “Percentile” will be calculated as follows:

 

 

 

where:

 

“P” represents the Percentile which will be rounded, if necessary, to the nearest whole percentile by application of regular rounding.

 

“N” represents the total number of entities in the TSR Index (including the Company, but after removal of any entities in accordance with the calculation of the Rank).

 

“R” represents Company’s Rank (as determined above).

 

The “Payout Percentage” shall be determined as follows, subject to the exception below:

 

· Threshold Performance: If the Company’s Percentile equals 25%, the Payout Percentage shall be 50% of the Target PRSUs. The Payout Percentage shall equal zero if the Company Percentile is less than 25%.

 
16

· Target Performance: If the Company’s Percentile equals 50%, the Payout Percentage shall be 100% of the Target PRSUs.

 

· Maximum Performance: If the Company’s Percentile equals or exceeds 75%, the Payout Percentage shall be 150% of the Target PRSUs.

 

Straight-line interpolation shall be used to determine the Payout Percentage for any Company Percentile between 25% and 75%, based upon the Payout Percentages set forth above.

 

The following exception exists with respect to the Payout Percentage determination set forth above: If the Company’s absolute TSR (irrespective of its Rank or Percentile) is less than 0%, then the Payout Percentage shall not exceed 100% of the Target PRSUs (subject to adjustment as set forth in Section 2 of the Agreement, if applicable).

 

In addition to the Company, the “TSR Index” shall be comprised of the companies in the S&P 500 Index as in effect on the first day of the Performance Period (subject to adjustment as set forth in the definition of Rank above).

 

The Compensation Committee of the Board of Directors shall be permitted to adjust or modify the calculations set forth above as it deems appropriate, including pursuant to any adjustments under Sections 4(b) and 12(c) of the Plan.